独立電源システム専用の太陽電池モジュール
独立電源システムでバッテリー充電を目的とした、信頼性の高い太陽電池モジュールを取り扱っております。
必要な電源仕様に応じた機器及び数量の選定、架台の設計・製作も承ります。
容量が大きい順に上からご紹介いたします。下に行くほど小型のものになります。
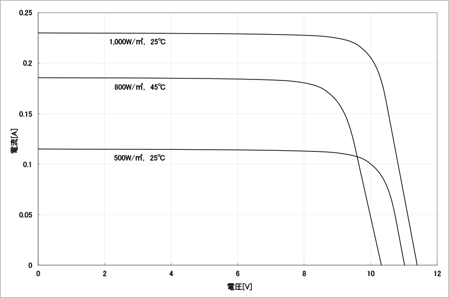
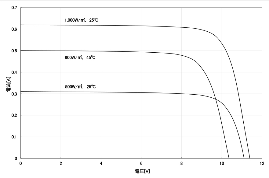
全てに仕様書PDFと出力特性図をご用意しておりますので、ぜひご利用ください。
太陽電池架台にお困りでしたら、弊社でご相談を承りますのでお気軽にご相談くださいませ。
※太陽電池パネルは年々高効率化しており、仕様も変わることがございます。(更新日:2021年10月)



















